SUMMARY
•
Motivation
◦
REPA 성능과 representation model
▪
DINOv2-B > DINOv2-L > DINOv3 > DINOv3-H+
◦
stronger representation learner로 feature alignment 하는 것이 오히려 bottleneck이 된다!
▪
fixed representation이 generative goal에서 떨어져 있다.
◦
generative framework 자체에서 해결해보자.
직관적으로 더 좋은 representation을 쓰면 더 좋은 모델이 될 것 같은데, 결국 main objective는 diffusion loss이니, 그 안에서 상호작용을 일으킬 수 있는 수준에서의 term을 사용해야한다는 교훈.
VAE도 그런데, reconstruction quality와 representation은 어느정도 trade-off 관계에 있다.
하지만 애초에 VAE-based인 REPA와 달리 RAE를 사용한다면, target latent로 사용한 strong representation이 도움이 될 것 같다.
•
Method
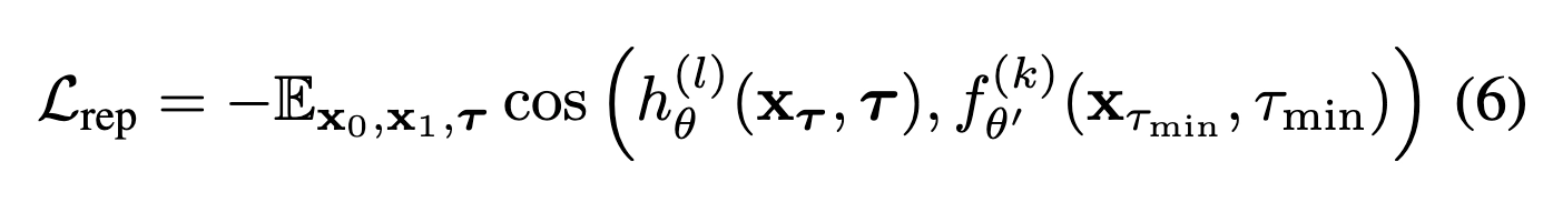
◦
teacher model을 external model이 아닌 더 쉬운 noise 에서의 self forward로 활용
◦
Noising method
▪
token 별 다른 noise level
•
token 내에서는 일관된 noise distribution
▪
Dual-Timestep Scheduling
•
Mask에 해당하는 토큰에만 강한 noise
◦
Teacher
▪
▪
▪
model은 student model을 EMA
•



